| トップ | フェンシング部紹介 | 部員募集&見学申込 | 活 動 記 録 | 特集ページ | OB会:若木クラブ |
| 2017年春秋 公式戦成績 |
|---|
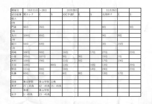
![]() 2017年 春のリーグ戦成績 春のリーグ戦が駒沢体育館で開催され、男子団体フルーレ、女子団体フルーレ、男子エペ団体 に出場しました。 試合状況と結果は以下になります。 【男子フルーレ団体】 ○國學院 45 × 39 ●明治学院 1年志田が4本、及川、門倉が最後にしっかりが締めました ○國學院 45 × 37 ●上智 1年木村が9本、及川、門倉が締めました ●國學院 27 × 45 ○東北大学 1年は志田、木村と出しました。力及ばず敗戦しました。 ●國學院 29 × 45 ○防衛大学 1年は木村、志田。後半自分達のペースにもっていけませんで した。 ●國學院 22 × 45 ○学習院 1年は志田。自分達のペースに持ってこれず敗退 ●國學院 31 × 45 ○東京大学 1年は木村。最後に門倉主将が踏ん張りましたが敗退 【女子フルーレ団体】 ●國學院 19 × 45 ○防衛大3部はこの1試合のみ、2名で出場 女子 1年佐藤が2本取りました! 細川は17本でした。 【リーグ戦 フルーレ順位】 ■男子1部 1位法政 2位日大 3位早稲田 4位中央 5位拓殖 6位慶應 ■2部 1位明治 2位専大 3位日体 4位立教 5位東学 6位青学 ■3部 1位東北 2位東大 3位防大 4位学習 5位國學 6位上智 7位明学 ■女子1部 1位日大 2位日体 3位日女体 4位法政 5位専大 6位慶應 ■2部 1位早稲田 2位東女体 3位中央 4位青学 5位上智 6位学習 ■3部 1位防大 2位國學 ![]() 【男子エペ団体】 ●國學院 42 × 45 ○東大 1年は木村。もう1つつめられたらという惜しい試合でした。 ●國學院 39 × 45 ○学習院1年は木村。最後に39×40でつめるも敗戦。 ●國學院 38 × 45 ○上智 1年は最初は志田、そのあと木村。崩すことをできないまま敗戦。 ●國學院 30 × 45 ○青学1年は志田。縮めることができぬまま敗戦。 ○國學院 45 × 35 ●東北大1年は木村。エペ初勝利です。 ●國學院 40 × 45 ○防大1年は木村、志田。最後まで1年も含めて良い試合でした。 門倉、 及川も頑張りまし た。 引突き数で東北大学を上回り3部 7校中6位で終わりました。 来年、新たに1校エペが増えたとしても4部ではなく3部での出場を確保できました。 【リーグ戦 エペ順位】 ■男子1部 1位法政 2位慶應 3位日大 4位早稲田 5位専修 6位中央 ■2部 1位日大 2位立教 3位明治 4位農大 5位拓殖 6位東学 ■3部 1位青山 2位防大 3位学習 4位東大 5位上智 6位国學 7位東北 ![]() ![]() 関東学生フェンシング連盟ホームページ http://f-kantogakuren.com/ascyyaa/ 応援いただいたOBOGの皆様、ありがとうございました。 1年も、女子1名、男子2名が出場し良い経験を積むことができました。 これからも頑張って参ります、よろしくお願いします。(監督:樺沢) 2017年 秋の関東学生選手権ほか <画像をクリック> ![]() |
| |